压电材料在高精度传感与驱动器件、储能电容、换能器等领域具有重要的应用。在过去几十年,铅基压电陶瓷由于优异的性能占据了主要的市场。无铅压电陶瓷具有环境友好性,在取代传统铅基材料上具有巨大潜力。然而,在理论机制上,其设计理念沿用传统铅基材料,近年来在关键性能上遭遇瓶颈,其应用性能与铅基材料相比仍存在较大差距。acfan
张斗团队深耕无铅压电陶瓷领域,目前取得重要突破,自2024年8月至2025年1月,连续在国际权威期刊NatureCommunications发表三篇论文。团队创新性地提出隐藏在平均结构下,原子尺度的“局部铁电畸变”理论,并成功应用于多种无铅压电铁电材料,实现了在压电、储能和应变性能上的显著提升,这些成果将对未来无铅陶瓷的设计与大规模应用产生重要推动作用。论文合作者包括清华大学南策文院士、林元华教授,澳大利亚伍伦贡大学张树君教授,北京理工大学黄厚兵教授以及北京科技大学祁核副教授等。
(1)高熵储能陶瓷超高储能密度:从“无序”到“有序”
现代电子设备对高性能电容器的需求不断增加,特别是在脉冲功率系统、电动汽车和光伏发电等领域。然而,传统陶瓷电容器在能量储存密度和效率等方面存在显著局限性。最近,高熵铁电陶瓷在协同提升储能性能上展现出巨大潜力。然而,大多数研究把高熵效应等同于平均结构的变化,忽略了元素化学有序性和极化异质性之间的关系及其对性能的影响机制。受高熵合金中元素短程有序启发,该团队提出一种高熵陶瓷中化学短程有序策略,调控极化响应,从而获得超高的储能密度~16.4J/cm3和效率~90%,为未来高熵弛豫铁电陶瓷的设计提供新的思路。该工作于2025年1月发表在Nature communications(//doi.org/10.1038/s41467-025-56181-6)。
图1 化学短程有序及超高的储能性能
(2)无铅压电陶瓷协同提高压电系数和温度稳定性:原子尺度铁电畸变理论
该团队通过深入分析掺杂引起的局部结构变化,从理论上证明了隐藏在平均相结构中两种不同的原子尺度铁电畸变,并阐明了这些畸变如何与相界相互作用。设计的铌酸钾钠陶瓷在室温到100°C实现了优异的压电系数d33~430pC/N及稳定性△d33~7%,通过退火进一步优化,将温度提高到150°C(△d33~8%),同时保持d33~380pC/N,可与经典的铅基陶瓷PZT-5A相媲美。该工作于2024年10月发表在Nature communications(//doi.org/10.1038/s41467-024-53020-y)。

图2 局域铁电畸变理论
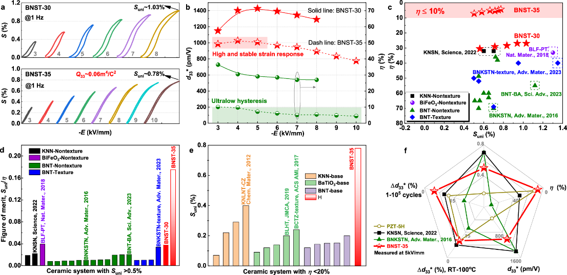
(3)低迟滞大应变无铅压电陶瓷
针对无铅陶瓷大应变与低迟滞性难以同时兼得的难题,该团队以遍历弛豫态的钛酸铋钠-钛酸锶陶瓷作为研究对象,基于其应变迟滞低、稳定性优异的本征优势,结合晶粒核壳结构和晶格缺陷结构调控打破其低应变和高驱动电场瓶颈。获得了低电场下(3~5kV/mm)大信号压电应变系数≥1000pm/V,且应变迟滞<10%。该低迟滞高应变还表现出近零的残余应变、良好的温度和循环稳定性。该工作于2024年8月发表在Nature communications(//doi.org/10.1038/s41467-024-51082-6)。

图3 优异的综合驱动性能
(一审:周学凡 二审:李卉淼 三审:张斗)